|
訓民正音序(훈민정음서)







훈민정음서(번역문)
훈민정음
해례
정인지서(鄭麟趾
序)
․「훈민정음해례(訓民正音解例)」는
세종대왕이 창제한 훈민정음을 정인지 등이
그 쓰임을 풀이한 것인데 그 序文을 정인지가
썼음
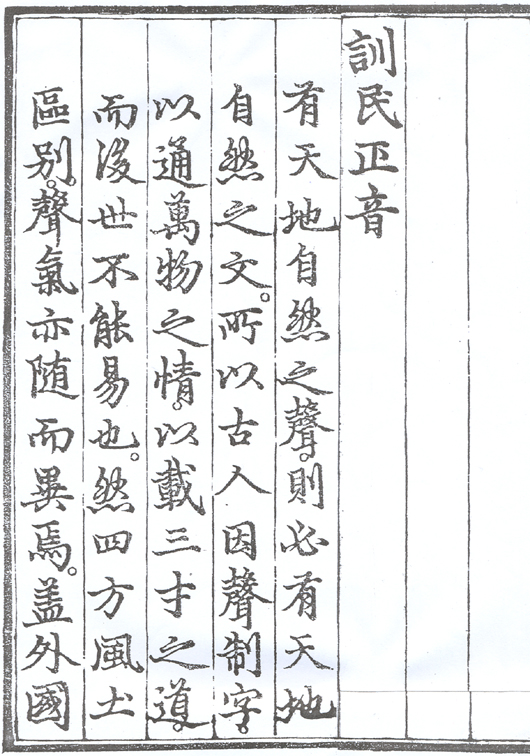
하늘·땅
자연의 소리[聲]가 있으면, 곧 반드시 하늘·땅
자연의 글이 있느니라. 그러므로 옛 사람이
소리를 따라 글자를 지어 가지고 만물의 뜻을
통하게 하고, 삼재(三才)의 이치[道]를 실으니,
후세(後世)에도 능히 바꾸지 못하느니라.
그러나,
사방(四方)의 풍토(風土)가 구별(區別)되어,
음성과 기운[聲氣]이 또한 따라서 다르니라.
대게 <중국을 제외한> 딴 나라의 말은
그 소리[聲]는 있으나 <이를 적는> 글자가
없어서, 중국의 글자를 빌어써서 통하게 하니,
이것은 마치 모난 자루를 둥근 구명에 끼어
서로 맞지 않아 어긋나는 것과 같나니, 어찌
능히 통달(通達)하여 막힘이 없겠는가. 요컨대,
다 각각 <사는> 곳을 따라 편안하게
하고 억지로 같게 하지 못할 것이라.
우리나라는
예악(禮樂) 문장(文章)이 중국과 견줄 만하나,
다만 방언(方言)과 이어(俚語)가 서로 같지
않다. 글(한문)을 배우는 이는 그 뜻의 깨닫기
어려움을 근심하고 옥사(獄事)를 다스리는
이는 그 곡절(曲折)의 통하기 어려움을 괴롭게
여겼다.
옛날
신라의 설총(薛聰)이 처음 이두(吏讀)를 지어서,
관부(官府)와 민간(民間)에 이제까지 쓰이나,
그러나 다 한자를 빌어쓰는 것이어서 혹은
걸리고, 혹은 막히어, 다만 비루(鄙陋)하고
무계(無稽)할 뿐만 아니라 언어의 사이에 있어서는
능히 그 만분의 일도 달하지 못할 것이라.
계해년(癸亥年)
겨울에 우리
전하(殿下)께서
정음 스물 여덟 자를 창제하시고, 간략한 보기와
뜻을 들어 보이시니, 이름을 말하되 훈민정음(訓民正音)이라.
물건의 형상을 시늉하여 글자는 옛날의 전자(篆字)를
모방하고, 소리[聲]를 따라서 음(音)은 일곱가락[七調]에
어울리니, 삼극(三極)의 뜻과 이기(二氣)의
묘함이 다 포괄되지 않음이 없느니라.
<정음>
스물 여덟 자를 가지고 전환(轉換)이 무궁하고,
간단하고도 요긴하며, 정묘하고도 두루 통하느니라.
그러므로 지혜로운 사람은 하루아침 안에 깨칠
것이요, 어리석은 사람도 열흘 안에 배울 수
있느니라. 이것을 가지고 글(한문)을 풀이하면,
가히 그 뜻을 알 수 있고, 이로써 송사(訟事)를
들으면 가히 그 정상(情狀)을 알 수 있느니라.
자운(字韻)으로서는
맑[淸]고 흐림[濁]이 잘 구별되고, 악가(樂歌)로서는
율려(律呂)가 고르게 되며, 쓰는 데마다 갖추어지지
아니함이 없고, 가는데마다 달하지 아니함이
없느니라. 비록 바람의 소리와 학(鶴)의 울음,
닭[鷄]의 울음이나 개의 짖음이라도 다 가히
적을 수 있느니라. 드디어
명하사
자세히 해석을 가하여 모든 사람에게 알려주라
하시니, 이에 신(臣)이 집현전 응교(集賢殿應敎)
최항(崔恒), 부교리(副敎理) 박팽년(朴彭年)․신숙주(申叔舟),
수찬(修撰) 성삼문(成三問), 돈녕부 주부(敦寧府注簿)
강희안(姜希顔), 행 집현전 부수찬(行 集賢殿副修撰)
이 개(李塏)․이선로(李善老) 들로 더불어 삼가
여러 가지 해설과 보기를 지어, 그 경개(梗慨)를
서술(敍述)함으로써 보는 이로 하여금 스승이
없어도 스스로 깨닫게 하였느니라. 그러나
그 깊은 근원과 정밀(精密)한 뜻의 묘한 것에
있어서는 신(臣)들이 능히 발휘(發揮)할 바가
아니니라.
공손히
생각하옵건대, 우리
임금은
하늘이 내신 성인(聖人)으로 제도(制度)와
베푸심이 모든 임금에 뛰어나셨느니라. 정음을
지으심은 조상이나 스승의 것을 본받아서 서술하여
밝힌 것이 없이 자연으로 이루신 것이니라.
어찌 그 지극한 이치는 있지 아니한 데가 없으되,
사람의 힘으로 되는 일의 사사로움이 아니겠는가.
대저
동쪽에 나라 있음이 오래지 아닌 것은 아니나,
만물의 뜻을 개통하여 천하의 사무를 성취함의
큰 지혜가 대개 오늘날을 기다림이 있음인저.
정통(正統)
11년 9월 상한(上澣)
자헌대부(資憲大夫)
예조판서(禮曹判書) 집현전 대제학(集賢殿大提學)
지춘추관사(知春秋館事) 세자 우빈객(世子右賓客)
신(臣)정인지(鄭麟趾)는
두 손 모아 절하고 머리를 조아려 삼가 씀.
|